We would like to study the asymptotic behaviour of problems set in
cylinders. Let 
 . The simplest case
that we can have in mind is to study
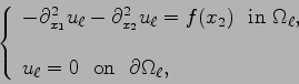
. The simplest case
that we can have in mind is to study 
 
when 
 and show in particular that the solution
converges toward the solution of the problem in lower dimension
 and show in particular that the solution
converges toward the solution of the problem in lower dimension
